DEDUÇÃO DOS POLINÔMIOS DE LEGENDRE
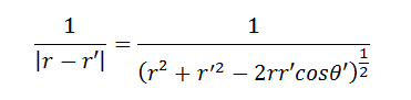
Partindo da seguinte relação:
Aplicando a chamada "lei dos cossenos":Evidenciando r:
Colocando o termo entre parênteses no numerador, chegamos à
Porém, devemos lembrar da seguinte série:
No nosso caso temos:
onde épsilon é conhecido como a função geratriz dos POLINÔMIOS DE LEGENDRE. Aplicando então a série:
Fazendo algumas manipulações matemáticas,chegaremos em:
E assim chegamos numa expressão de grande valor, onde os termos entre parênteses são conhecidos como os POLINÔMIOS DE LEGENDRE.















Comentários
Postar um comentário